TAIYO YUDEN MCOIL™ LLEU Wire-Wound Metal Power Inductors
TAIYO YUDEN MCOIL™ LLEU Wire-Wound Metal Power Inductors are designed for medical devices classified as GHTF Classes A or B (Japan Classes I or II). These power inductors feature ±15% temperature characteristic (Inductance change) and an operating temperature range of -40°C to 125°C. The MCOIL™ LLEU wire-wound metal power inductors use metallic magnetic materials, which include excellent DC bias characteristics. These power inductors are RoHS and REACH compliant. Typical applications include small DC/DC converters and medical devices classified as GHTF Classes A to B (Japan Classes Ⅰ to Ⅱ).Note: MCOIL is a registered trademark or trademark of TAIYO YUDEN CO., LTD. in Japan and other countries. The names of series noted in the text are excerpted from part numbers that indicate the types and characteristics of the products and, therefore, are neither product names nor trademarks.
Features
- Use of metallic magnetic materials, which include excellent DC bias characteristics
- Low core loss
- Low RDC
- Reflow soldering
- Halogen free
- RoHS and REACH compliant
Applications
- Medical devices classified as GHTF Classes A to B (Japan Classes Ⅰ to Ⅱ)
- Small DC/DC converters
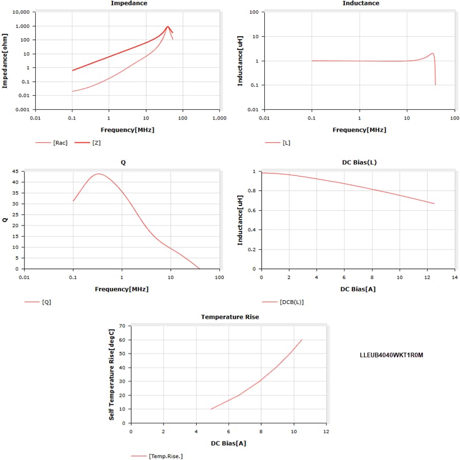
Characteristic Value Graphs
Veröffentlichungsdatum: 2025-04-01
| Aktualisiert: 2025-11-04
